반응형
(3) 예시
5분에 한대씩 오는 버스가 있습니다. 임의의 시간에 정류장에 나갔을 때, 버스를 기다릴 시간이 x일 확률을 구해봅시다. 버스를 기다릴 시간은 0분에서 5분 사이입니다. 따라서 X의 범위는 아래와 같습니다.

임의의 시간에 나가는 것이므로 모든 확률은 같습니다. 그런데 X는 셀 수 없는 변수입니다. 연속확률변수입니다. 셀 수 없다는 것은 단순히 그 개수가 무한개라는 것이 아닙니다. 자연수도 개수가 무한개지만 셀 수 있습니다. 1다음에 오는 것이 2입니다. 그런데 위 예제에서 0분 다음에 오는 것이 뭘까요? 0.1분? 0.001분? 셀 수 없습니다. 연속확률변수이기 때문에 함수 값은 확률이 아니라 확률밀도입니다. 이 확률밀도를 일단 k라고 놓고 그래프를 그려봅시다.
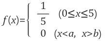
확률의 총 합은 1이므로, 닫힌 부분의 넓이는 1입니다. 따라서 k는 1/5입니다. 함수로 나타내면 아래와 같습니다.

확률밀도이기 때문에 특정 시간에 대한 '확률'을 정의할 수는 없습니다. 버스를 기다리는 시간이 3분일 확률은 0입니다. 존재하지 않습니다. '범위'에 대한 확률만 구할 수 있습니다. 예를들어 기다리는 시간이 0~2분일 확률입니다. 확률은 아래 면적이고 2/5입니다.
반응형
'필수과목 > 손으로 푸는 확률분포' 카테고리의 다른 글
| [손으로 푸는 확률분포] 지수분포 (4) 예시 : 카페 대기시간 (0) | 2020.11.03 |
|---|---|
| [손으로 푸는 확률분포] 지수분포 (3) 예시 : 전자제품 고장확률 (6) | 2020.10.26 |
| [손으로 푸는 확률분포] 지수분포 (2) 유도 (0) | 2020.10.01 |
| [손으로 푸는 확률분포] 지수분포 (1) 소개 (0) | 2020.10.01 |
| [손으로 푸는 확률분포] 균등분포 (2) 평균과 분산 (1) | 2020.02.26 |
| [손으로 푸는 확률분포] 균등분포 (1) 소개,그래프,유도 (2) | 2020.02.24 |
| [손으로 푸는 확률분포] 이산확률분포들 사이의 관계 (6) | 2020.02.22 |
| [손으로 푸는 확률분포] 이산확률분포 7가지 총정리 (0) | 2020.02.18 |
댓글