반응형
5) 그래프
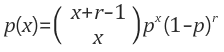
음이항분포는 r번의 실패(사건 미발생)가 나오기까지 성공(사건발생)이 x번 발생할 확률분포입니다.
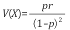
음이항분포의 분포함수, 평균, 분산은 아래와 같습니다.



r이 커질수록 평균과 분산은 커집니다. p가 커질 수록 평균과 분산이 커집니다.
r이 커질 수록 평균이 커진다는 것은 r이 커질 수록 성공횟수 x가 높은 값에서 발생할 확률이 높아진다는 말입니다. 예를 들어서 r이 1이고 x가 10이라고 해봅시다. 이때는 성공이 10번 연속 발생하고, 마지막에 실패가 1번 발생해야 하는데 이 확률은 정말 작습니다. r이 10이고 x가 10이라면 확률이 더 높아질 것입니다. 또 반대로 r이 10인데 x가 1인 경우에도 확률이 희박해집니다. 물론 p의 영향을 받겠지만, r이 커지면 r이 작을때에 비해서 큰 값의 x가 발생할 확률이 높아지는 것입니다.
p가 커질수록 평균이 커진다는, p가 커질수록 성공횟수 x가 높은 값에서 발생할 확률이 높아진다는 것입니다. p가 작으면 r의 발생확률이 x보다 커지므로, 많은 x가 발생하기 전에 시행이 끝이나는 경우가 많을 것입니다. 따라서 성공확률이 커질 수록 많은 횟수의 x가 발생할 확률이 높아지므로 평균이 오른쪽으로 이동하게 됩니다.
반응형
'필수과목 > 손으로 푸는 확률분포' 카테고리의 다른 글
| [손으로 푸는 확률분포] 푸아송분포 (2-2) 미분방정식으로 유도 ① 준비 (0) | 2019.11.05 |
|---|---|
| [손으로 푸는 확률분포] 푸아송분포 (2-1) 이항분포로 부터 유도 (0) | 2019.10.28 |
| [손으로 푸는 확률분포] 푸아송분포 (1) 소개 (2) | 2019.09.14 |
| [손으로 푸는 확률분포] 음이항분포 (6) 이름의 유래 (4) | 2019.09.14 |
| [손으로 푸는 확률분포] 음이항분포 (4-2) 분산 (0) | 2019.07.05 |
| [손으로 푸는 확률분포] 음이항분포 (4-1) 평균 (8) | 2019.07.05 |
| [손으로 푸는 확률분포] 음이항분포 (3) 유도 (0) | 2019.07.05 |
| [손으로 푸는 확률분포] 음이항분포 (2) 예시 (0) | 2019.07.05 |
댓글