반응형
4-2) 통계량 - 분산
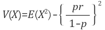
분산은 아래 수식을 이용하여 구할 수 있습니다.

평균은 이전 강의에서 계산한 결과를 넣어줍시다.

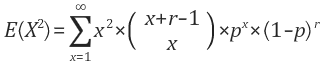
우리가 모르는 값은 평균의 제곱이기 때문에, 따로 떼어서 계산하겠습니다.

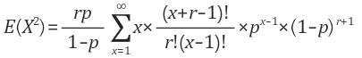
p(x)에 음이항분포식을 적용해봅시다. x가 0일때는 값이 0이므로, x를 1부터 계산해도 됩니다.

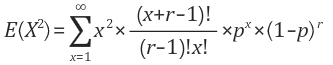
이항분포 식을 풀어서 씁시다.

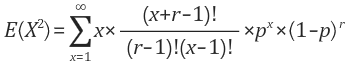
x를 약분해줍니다.

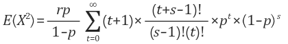
p하나를 꺼내고, 1-p와 r을 나누고 곱해서 아래와 같이 변형합니다.

r+1=s 로, x-1=t 로 치환합니다.

t+1을 전개합시다.

위 그림의 빨간부분을 조합식으로 바꿔봅시다.

위 수식의 파란부분은 실패횟수가 s이고, 성공횟수(변수)가 t인 음이항분포의 분포함수입니다. 따라서 왼쪽식은 음이항분포의 평균을 구하는 식이고, 오른쪽 식은 분포함수의 전체 합이므로 1이 됩니다.

s를 다시 r로 바꿔넣어줍니다.

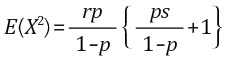
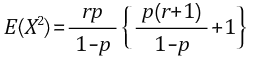
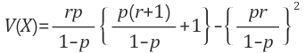
이제 분산 식에 넣어서 구해봅시다.

아래와 같이 묶어줍니다.

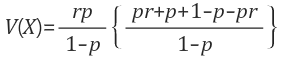
괄호 안을 통분해줍니다.

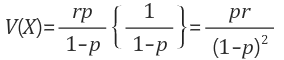
아래와 같이 계산해줍니다. 분산을 구했습니다.

반응형
'필수과목 > 손으로 푸는 확률분포' 카테고리의 다른 글
| [손으로 푸는 확률분포] 푸아송분포 (2-1) 이항분포로 부터 유도 (0) | 2019.10.28 |
|---|---|
| [손으로 푸는 확률분포] 푸아송분포 (1) 소개 (2) | 2019.09.14 |
| [손으로 푸는 확률분포] 음이항분포 (6) 이름의 유래 (4) | 2019.09.14 |
| [손으로 푸는 확률분포] 음이항분포 (5) 그래프 (0) | 2019.07.19 |
| [손으로 푸는 확률분포] 음이항분포 (4-1) 평균 (8) | 2019.07.05 |
| [손으로 푸는 확률분포] 음이항분포 (3) 유도 (0) | 2019.07.05 |
| [손으로 푸는 확률분포] 음이항분포 (2) 예시 (0) | 2019.07.05 |
| [손으로 푸는 확률분포] 음이항분포 (1) 소개 (0) | 2019.07.04 |
댓글