반응형
6) 기하분포 이름의 유래
문득 이름이 왜 '기하분포'인지 궁금해졌습니다. 자료들을 찾아보니 기하분포는 '기하수열'에서 온 말이라고 합니다. 기하수열은 다시 '기하평균'에서 온 말입니다.
기하평균(geometric mean) → 기하(등비)수열(Geometric sequence) → 기하분포(Geometric distribution)
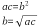
기하(등비)수열과 기하평균에 기하라는 이름이 붙어있는데요. '기하(geometric)'는 어떤 의미인지 먼저 알아봅시다. 기하는 '선' '곡선' '도형'에 관련된 것을 의미합니다. 기하평균은 도형에서 발견한 평균입니다. 아래와 같은 사각형을 봅시다. 변의 길이가 a와 c인 직사각형이 있습니다. 넓이의 관점에서 이 길이의 평균은 얼마일까요. 넓이가 유지되도록 하는 b를 찾으면 될 것입니다.

b는 아래와 같이 구합니다.

연속되는 세 수 간에 위 관계가 성립하는 수열이 기하(등비)수열입니다. 그렇다면 기하분포에는 왜 기하가 붙었을까요. 기하분포의 함수를 다시 봅시다.

모양이 어떤가요? (1-p)를 공비라고 생각하면 기하(등비)수열의 일반항과 같은 모양입니다.
이와 같이 기하(등비)수열의 모양을 갖고 있기 때문에 기하분포라는 이름이 붙은 것입니다.
반응형
'필수과목 > 손으로 푸는 확률분포' 카테고리의 다른 글
| [손으로 푸는 확률분포] 음이항분포 (4-1) 평균 (8) | 2019.07.05 |
|---|---|
| [손으로 푸는 확률분포] 음이항분포 (3) 유도 (0) | 2019.07.05 |
| [손으로 푸는 확률분포] 음이항분포 (2) 예시 (0) | 2019.07.05 |
| [손으로 푸는 확률분포] 음이항분포 (1) 소개 (0) | 2019.07.04 |
| [손으로 푸는 확률분포] 기하분포 (5) 그래프 (0) | 2019.07.04 |
| [손으로 푸는 확률분포] 기하분포 (4) 분산 (0) | 2019.07.04 |
| [손으로 푸는 확률분포] 기하분포 (3~4) 유도, 평균 (4) | 2019.07.04 |
| [손으로 푸는 확률분포] 기하분포 (1~2) 소개, 예시 (1) | 2019.07.04 |
댓글